The Arizona General Power of Attorney is used in the state of Arizona when the grantor or the principal wants to appoint someone else (the attorney-in-fact) to make decisions on his behalf. You may specify the scope and powers which you want to grant the attorney-in-fact by selecting the options such as Real Property, Personal Finances, personal property or any kind of business transaction.
How to Fill the Arizona General Power of Attorney Form
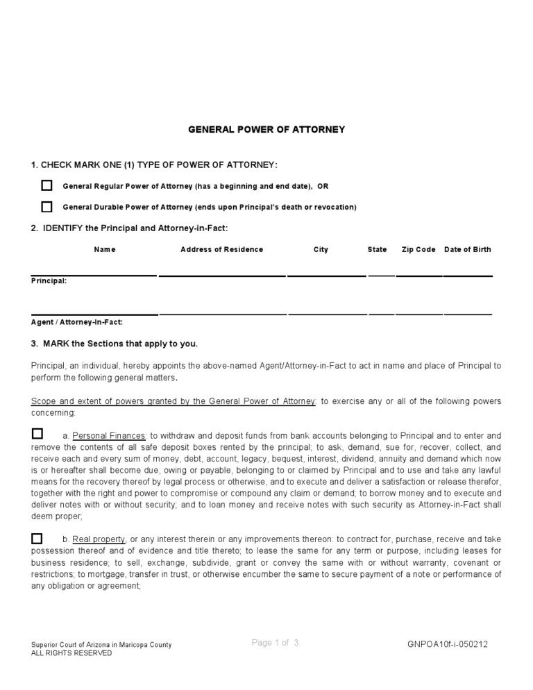
The form starts with the identification of the type which would either be regular (that has a beginning and end date) or durable (that ends upon Principal’s death or revocation) followed by the complete details of the principal and attorney including the full and legal name (first, middle, last), complete address along with the county, state & zip code and the date of birth. After that, the sectors in which the attorney is authorized to take decisions in needs to be specified by checking the boxes out of the given options which are Personal Finances, Real Property, Personal Property, Business Transactions or To do and perform every and all acts along with their detailed descriptions. In the fourth section, the start and the end date of the general regular power of attorney needs to be mentioned along with the manner of revocation already stated or the start date of the general durable power of attorney with the manner of revocation already stated. Lastly, the document needs to be named and signed by the principal and its attorney respectively certifying that the power given to the attorney is in a sound state of mind and that their decision is as equal to the grantors for the given tasks and that the attorney shall misuse the powers allotted to them. This document also needs to be notarized by the Notary Public for it to be considered legal.
<center> <script id="mNCC" language="javascript"> medianet_width='728'; medianet_height= '90'; medianet_crid='471678525'; </script> <script id="mNSC" src="http://contextual.media.net/nmedianet.js?cid=8CUA2TM0E" language="javascript"></script> </center>Download Links
Arizona General Power of Attorney Form
Preview Arizona General Power of Attorney Form				
Arizona General Power of Attorney Form

